Video - Part 1

Video - Part 2

Topic 1: Identifying solutions to a system of linear equations

  1. Determine if (2, 3) is a solution to the system: y = x + 1 and y = -2x + 7: Yes, (2, 3) satisfies both equations.
  1. Check if (2, 7) satisfies the system: y = 3x + 1 and 2x + y = 6:

Topic 2: Identifying the solution of systems of linear equations from graphs

  1. Find the solution to the system of equations from their graphs: y = 2x - 1 and y = -x + 5 intersecting at (2, 3): Solution: (2, 3).

Topic 3: Graphically solving a system of linear equations both of the form y=mx+b

  1. Solve the system by graphing: y = 2x + 1 and y = -x + 4: Solution: (1, 3).
  1. Graph the system to find the solution: y = (1/2)x - 1 and y = -2x + 5: Solution: (2, 0).

Topic 4: Graphically solving a system of linear equations

  1. Solve the system by graphing: 2x + y = 4 and x - y = 1
  1. Find the solution by graphing: 3x - 2y = 6 and y = x - 1: Solution: (0, -1).

Topic 5: Solving a system of linear equations using substitution

  1. Solve the system using substitution: y = 2x + 4 and x + y = 7: Solution: (1, 6).
  1. Use substitution to solve: x = 4 - y and 2x + y = 5

Topic 6: Solving a system of linear equations using elimination with addition

  1. Solve the system using elimination: x + y = 5 and x - y = 1: Solution: (3, 2).
  1. Use elimination to solve: 2x + 3y = 12 and 2x - 3y = 0: Solution: (3, 2).

Topic 7: Solving a system of linear equations using elimination with multiplication and addition

  1. Solve the system using elimination: 2x + 3y = 11 and 3x + 5y = 18: Solution: (1, 3).
  1. Use elimination to solve: 4x - 2y = 10 and 3x + 4y = 2
  1. Use elimination to solve: -9x - 8y = -9 and -2x + 3y = -2

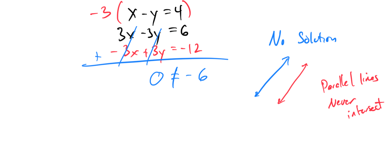
Topic 8: Solving systems of linear equations with 0, 1, or infinitely many solutions

  1. Determine the number of solutions for the system: 2x + y = 3 and 4x + 2y = 6: Infinitely many solutions.
  1. Find the number of solutions for the system: x - y = 4 and 3x - 3y = 6

Topic 9: Solving a word problem involving a sum and another basic relationship using a system of linear equations

  1. The sum of two numbers is 15, and their difference is 3. Find the numbers using a system of equations: Numbers: 9 and 6.
  1. A store sells 2 pens and 3 notebooks for $13, and 1 pen and 2 notebooks for $8. Find the cost of each: Pen: $2, Notebook: $3.

Topic 10: Writing and solving a system of two linear equations given a table of values

Topic 11: Writing a system of linear equations given its graph

  1. Write the system of equations for two lines