Lecture Video
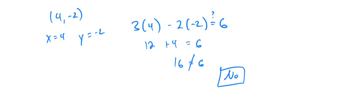
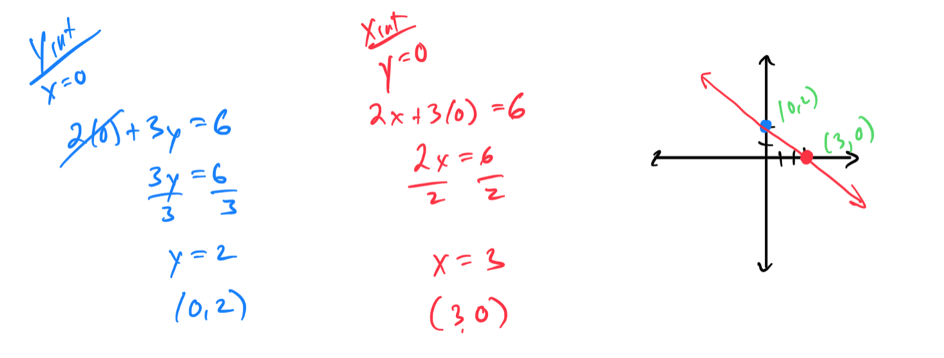
Intro Topic 1: Identifying Solutions to a Linear Equation in Two Variables 1. 2x + y = 5, Pair: (1, 3) 2. 3x - 2y = 6, Pair: (4, -2) Topic 2: Finding a Solution to a Linear Equation in Two Variables 1. y = 2x + 1 2. 4x - y = 3 Topic 3: Graphing a Linear Equation of the Form y = mx 1. y = 3x 2. y = -2x Topic 4: Graphing a Line Given Its Equation in Slope-Intercept Form: Integer Slope 1. y = 2x + 1 2. y = -3x + 4 Topic 5: Graphing a Line Given Its Equation in Slope-Intercept Form: Fractional Slope 1. y = (1/2)x - 3 2. y = (-3/4)x + 2 Topic 6: Graphing a Line Given Its Equation in Standard Form 1. 2x + y = 4 2. 3x - 2y = 6 Topic 7: Graphing a Vertical or Horizontal Line 1. x = 3 2. y = -2 Topic 8: Finding x- and y-Intercepts Given the Graph of a Line on a Grid 1. Line from (4,0) to (0,2) Topic 9: Finding x- and y-Intercepts of a Line Given the Equation: Basic 1. y = 2x + 3 2. y = -x - 1 Topic 10: Graphing a Line Given Its x- and y-Intercepts 1. x-intercept: (2,0), y-intercept: (0,4) 2. x-intercept: (-3,0), y-intercept: (0,1) Topic 11: Graphing a Line by First Finding Its x- and y-Intercepts 1. 2x + 3y = 6 2. x - y = 4 Topic 12: Finding x- and y-Intercepts of a Line Given the Equation: Advanced 1. 4x - 5y = 10 2. -2x + 3y = -9