• Home
  • Realtor
  • Algebra ALEKS Topics
  • Algebra Notes
  • Algebra Reviews
  • MAT0028
  • MAC1105
  • MGF ALEKS Topics
  • MGF Reviews
  • MGF Notes
  • STA2023
  • Stats ALEKS Topics
  • Stats Notes
  • Stats Reviews
Algebra / 

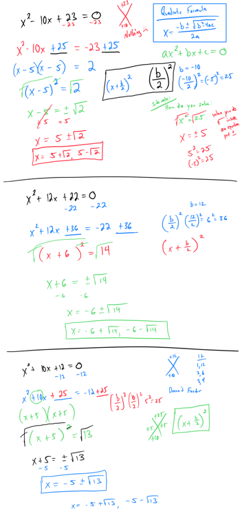
Solving a quadratic equation by completing the square: Exact answers

TagsArchiveRSS feedYoutubeQR Codeemail akennon@fscj.edu with any issues on this website
Made with Montaigne and bigmission Support Ukraine