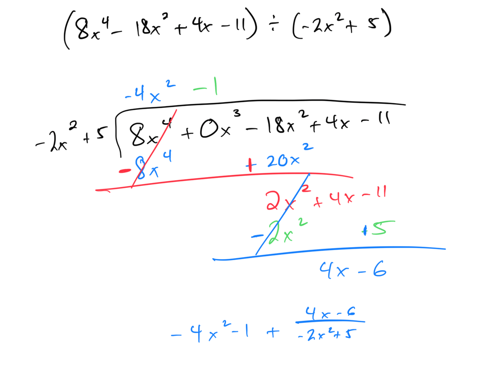
<img src="https://imagedelivery.net/phxEHgsq3j8gSnfNAJVJSQ/NODE2_B2763CB9-4C45-41B5-B310-51BF7114021C/public" style="background-color:initial;max-width:min(100%,1536px);max-height:min(1178px);;background-image:url(https://imagedelivery.net/phxEHgsq3j8gSnfNAJVJSQ/NODE2_B2763CB9-4C45-41B5-B310-51BF7114021C/public);height:auto;width:100%;object-fit:cover;background-size:cover;display:block;" width="1536" height="1178">