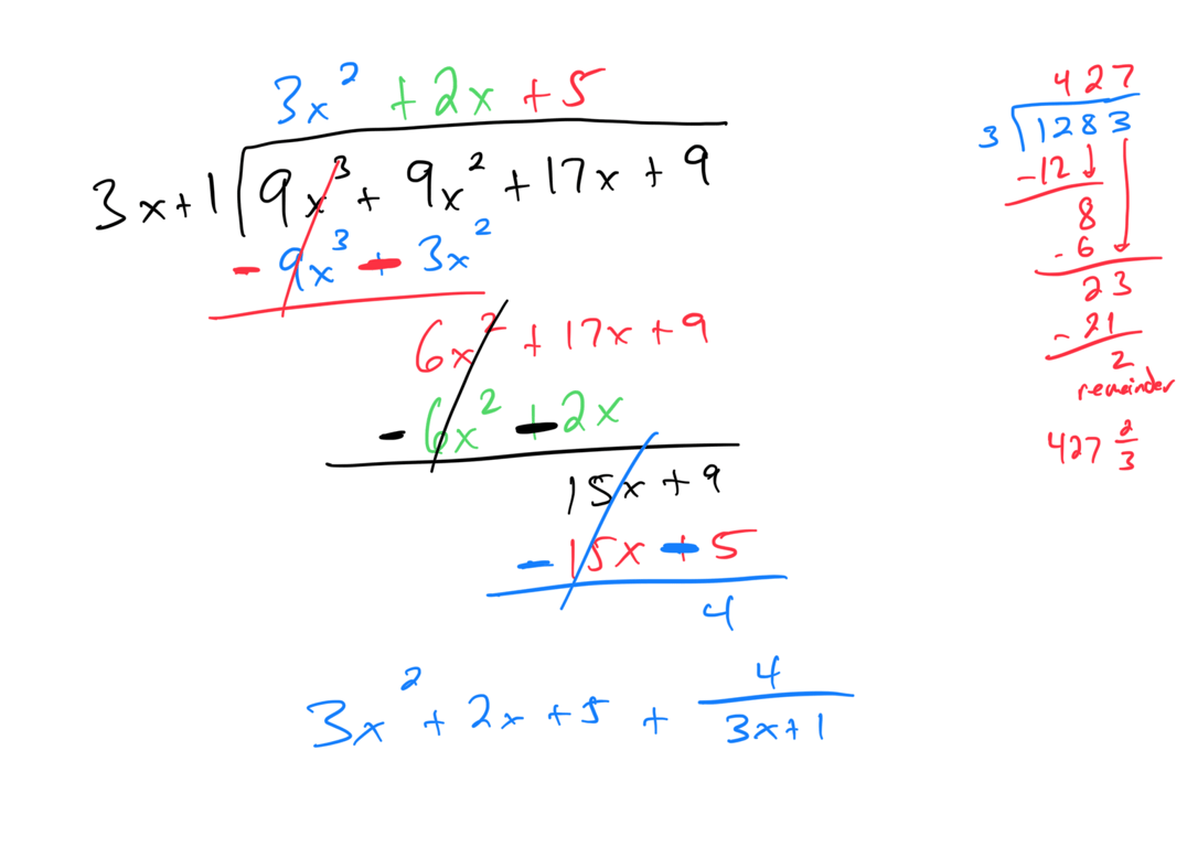
<img src="https://imagedelivery.net/phxEHgsq3j8gSnfNAJVJSQ/NODE2_E4FF65FA-2335-4777-AAB7-2F3D93C59ED8/public" style="background-color:initial;max-width:min(100%,1536px);max-height:min(1096px);;background-image:url(https://imagedelivery.net/phxEHgsq3j8gSnfNAJVJSQ/NODE2_E4FF65FA-2335-4777-AAB7-2F3D93C59ED8/public);height:auto;width:100%;object-fit:cover;background-size:cover;display:block;" width="1536" height="1096">